TUAN
丨我值年少 书生意气 有活力的文化平台丨
为贯彻落实团中央推进高校共青团第二课堂成绩单的相关规定,有效发挥第二课堂大数据平台对高校优化人才培养方案,动态调整第二课堂活动体系和高质量实施对共青团“第二课堂成绩单”的决策支持,进一步深化落实我校《第二课堂学分积分管理实施细则(修订)》(培华院学发〔2020〕21号)的文件要求,加快推进班级团支部部落PU平台建设,提高班级团支部部落PU活力值,全面促进学生自主发展和个性成长,推动第二课堂与第一课堂相互促进、协调发展。
现将2022年度各班级团支部
部落活力值公示如下
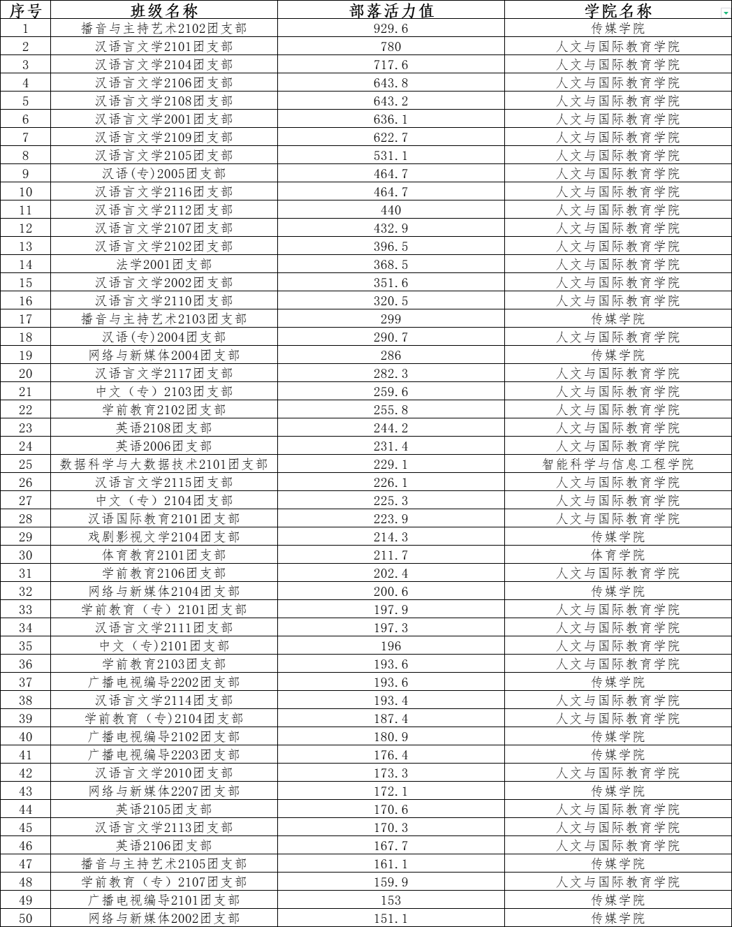
活力值排名前50班级团支部

活力值排名51-291班级团支部





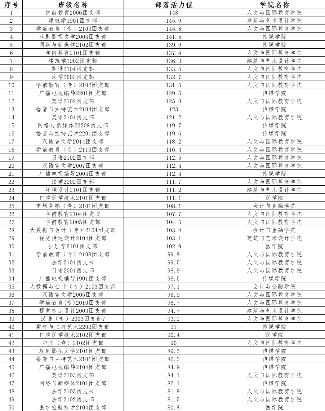
活力值排名后100班级团支部


第二课堂平台团支部
部落活力值提升小贴士
1.增加团支部发起活动数量。可以采用减少重复无趣活动,增加热点新奇活动,吸引学生兴趣,扩大覆盖范围。
2.扩大团支部活动参与人次。班级团支部之间可以联合举办活动,学生自身优势得以发挥,活动效果也会显著提升。
3.促进团支部活动校地联动。可以将团日活动、专业实践、班级团建等与企业、学校、基地等相挂钩,完成学业任务的同时提高班级团支部的部落活力值。
部落活力值提升的最主要方法就是发布活动,各团支部不能仅仅依靠每月一次的团日活动,也应多关注平时的热点时事开展相关的讨论会或趣味辩论等活动,积极组织开展班级活动。活动地点并不局限于校内,适当的外出团建也有利于提高活力值、增强班级凝聚力。