为深入贯彻党的教育方针,弘扬中华民族传统美德,树立正确的家庭观念和社会风气,进一步促进家庭美德在党的号召下与社会公德的融合发展,在党的光辉照耀下,共同营造积极向上、和谐美好的校园文化氛围。会计与金融学院党委特开展以“传美德、正家风”为主题的征文比赛。
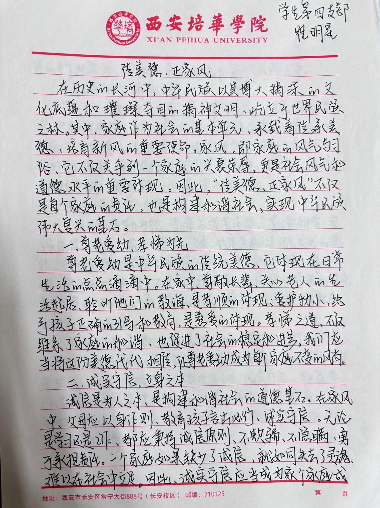
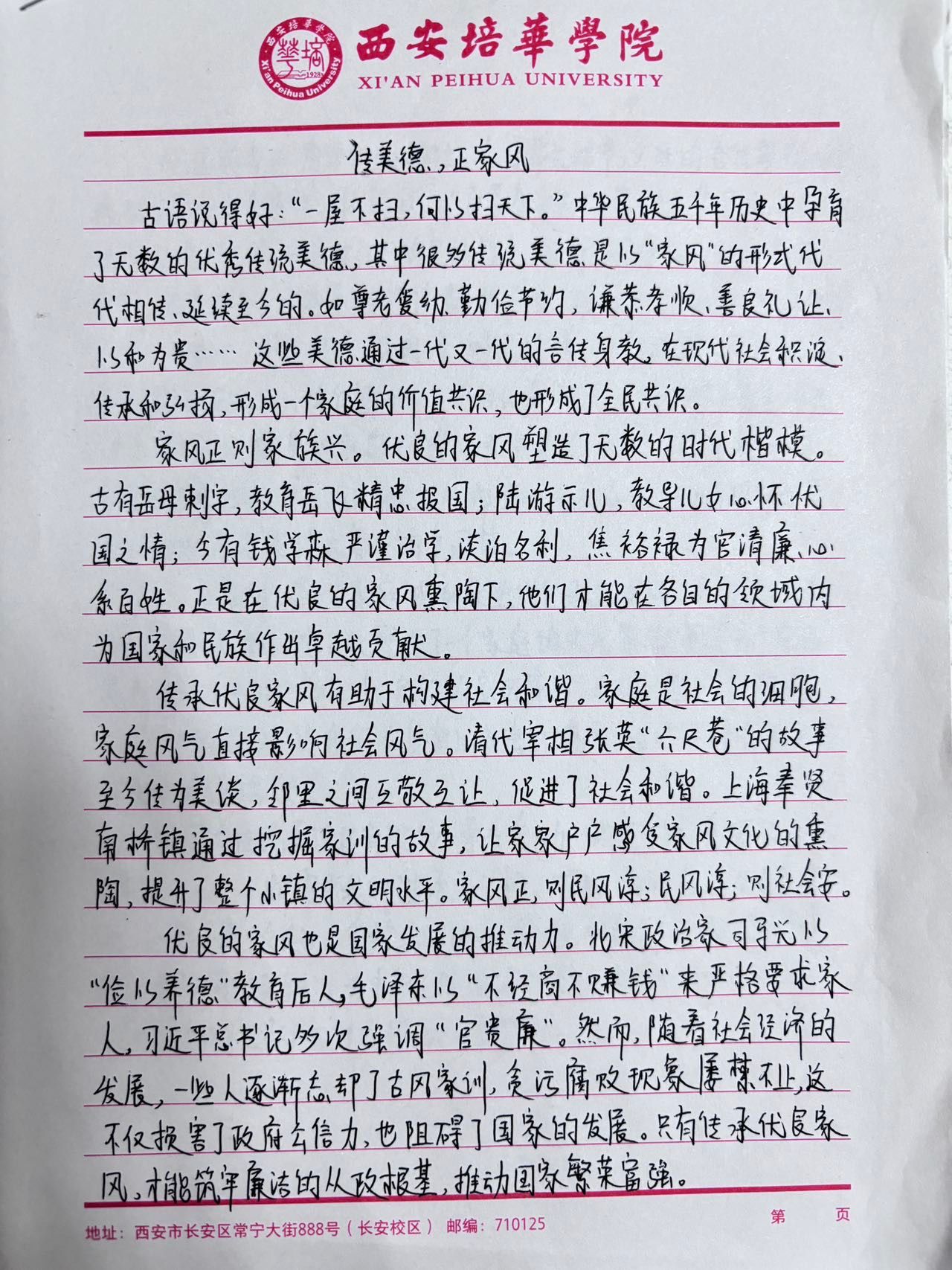
大家用文字讲述家风故事。参赛作品题材丰富,情感真挚,展现了优良家风的深刻内涵。有的是深情回忆长辈言传身教的善良、勤劳、诚信等品德,字里行间满是对历史美德的敬重;有的通过生动事例展现家风在家庭发展和个人成长中的关键作用,如在困难时刻,家风如何支撑家族成员坚守信念。这些作品从不同角度诠释了正家风与传美德的重要意义,为大家带来了一场精神盛宴。
本次征文大赛拟组织300名学生开展活动,评委们秉持公平、公正的原则,从主题契合度、内容感染力、文笔流畅性等多方面对征文进行评审,从而评选出1名一等奖,2名二等奖,3名三等奖,6名优秀奖。
一等奖
石璐



二等奖
崔明星苗程程




三等奖
牛文洁王雪宫小雪






优秀奖
王奕婷樊佳萌张雅妮杨毓佳罗鸿洋田朵





此次征文活动不仅是一次文学上的角逐,更是一次对美德与家风文化的深度探索与弘扬。通过文字,优秀的家风故事得以传播,中华传统美德得以被重视,会计与金融学院党委将会更加努力让这些精神财富在新时代继续闪耀光芒,为社会文明建设添砖加瓦。